Contoh Soal Equation Word 2007
Tutorial Praktek Video Tutorial Equation Microsoft Word
Equation Membuat Rumus Matematika Di Ms Word
Mathtype 6 0 Pengganti Microsoft Equation Untuk Karya Tulis
Contoh Soal Word Ilmu Pengetahuan Populer 1
Cara Menulis Rumus Matematika Di Microsoft Word 2007 Dan
Cara Mudah Menulis Soal Matematika Di Word
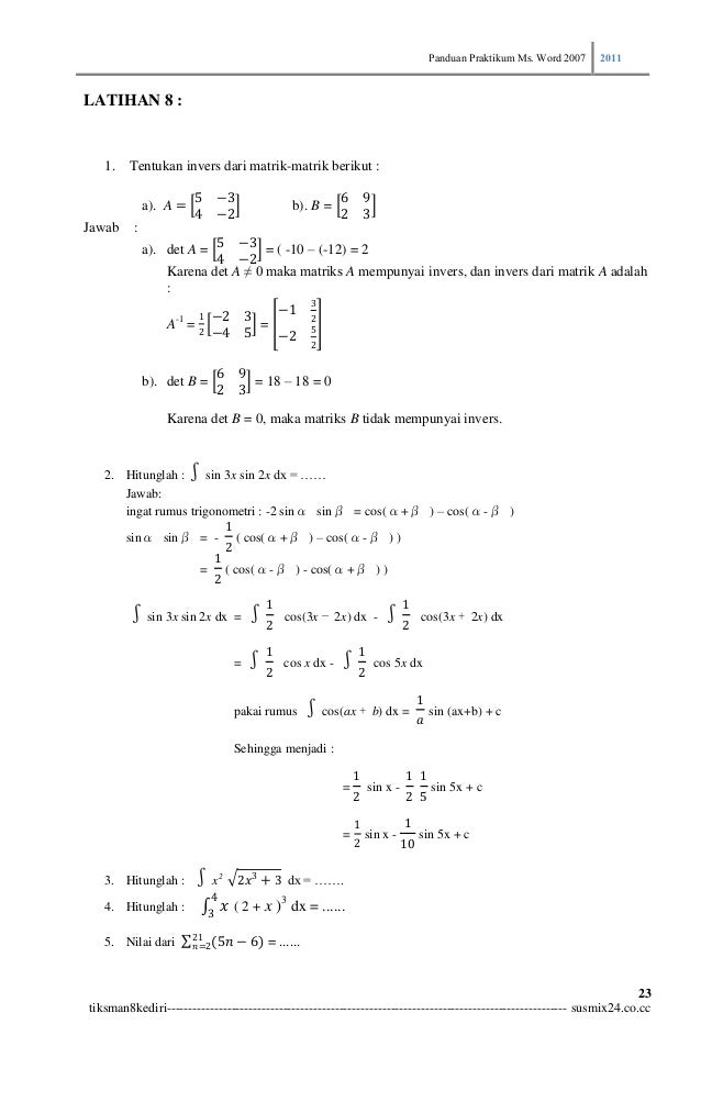
Buku Panduan Praktikum Ms Word 20072
Cara Menulis Rumus Matematika Di Microsoft Word 2007 Dan
Cara Menulis Rumus Matematika Di Microsoft Word 2007 Dan
Setting Pembuatan Soal Dengan Mocrosoft Word 2007
Cara Membuat Persamaan Equation Di Powerpoint Computer 1001
Cara Menulis Rumus Matematika Di Microsoft Word 2007 Dan
Contoh Soal Word Ruang Belajar Siswa Kelas 6
Membuat Matriks Ordo 4x4 Di Ms Word 2007 Atau 2010
Cara Menulis Rumus Matematika Di Microsoft Word 2007 Dan
How To Change The Default Font In Microsoft Word From Calibri 11 To Times New Roman Size 12
Cara Menuliskan Equation Rumus Pada Microsoft Word
Tik Smp Abdi Agape Kal Bar 2013 01 06
Rumus Pecahan Dan Pangkat Equation Membuat Rumus Di Word Ms Ofice 2007 Microsoft 0ffice 2007
Daftar Isi Belajar Microsoft Word 2007
Contoh Soal Word Ruang Belajar Siswa Kelas 6
Membuat Format Layout Majalah Koran Di Microsoft Word
Membuat Format Layout Majalah Koran Di Microsoft Word
5 Langkah Sederhana Mengubah Settingan Warna Tampilan Word
Cara Membuat Equation Persamaan Matematika Di Microsoft
02 Solvingequations2 Triangle Equations
Membuat Matriks Ordo 4x4 Di Ms Word 2007 Atau 2010
Cara Membuat Grafik Pada Microsoft Word 2007 Abu Hamzah
Latihan Soal Ms Word 2007 Proprofs Quiz
Contoh Soal 11 Elasticity Physics Stress Mechanics
Panduan Dan Contoh Rumus Array Dukungan Office
Membuat Format Layout Majalah Koran Di Microsoft Word
Menyisipkan Objek Di Lembar Bentang Excel Anda Excel
Pdf Use Of Frog Vle In Science Learning
Cara Membuat Equation Dan Symbol Dalam Microsoft Word
Mathtype 6 5 For Windows Chm Typefaces Button Computing
Word Problems Area And Perimeter Of A Rectangle
Corruption Cases Mapping Based On Indonesia S Corruption
Https Rahmadya Com 2014 10 27 Kesan Pertama All New Rio
Doc Latihan Soal Ms Word Materi Microsoft Word Lanjutan
Belajar Ms Office Erwinasafitry
Cara Membuat Flowchart Di Word Computer 1001
Study Guide Summative 1 Slope Intercept Form 2017 2018
Pba Kicks Off Big February On Espn With Live Main Event
Maximum Flow Problem In Excel Easy Excel Tutorial
Membuat Format Layout Majalah Koran Di Microsoft Word
Cara Membuat Diagram Venn Di Microsoft Word 2013
Https Rahmadya Com 2014 10 27 Kesan Pertama All New Rio
Cara Munculkan Equation Editor Pada Ms Office 2003 Bang Ancis
Performer Summary Of Project Results Performer Project
Fungsi Font Font Size Grow Font Shrink Font Microsoft
Cara Cepat Menyisipkan Simbol Matematika Alfa Beta Gamma
Matching Questions Blackboard Help
Diva Traffic Booste Votre Audience Directement Dans Votre Room
Pdf Bank Soal Usm Stis 2007 2016 Pdf Irvana Luluatul
Capital Punishment Argumentative Essay Legalised Lancia
13517490 617165501766166 2500876130894879170 O Jpg News By
Performer Pilot Handbooks Performer Project
C945 Npn Transistor Datasheet Filetype Pdf By Stacey Farr
O Novo Bacenjud Explicado Em 5 Topicos Helio Mariano
Cara Menulis Rumus Matematika Di Microsoft Word 2007 Dan
Tutorial Microsoft Office Word 2007
Cara Membuat Rumus Akar Kuadrat Di Ms Word Cara Aimyaya
Buku Panduan Projek Program Diploma Edisi 2016 Pages 101
Https Rahmadya Com 2014 10 27 Kesan Pertama All New Rio
Prospective Middle School Mathematics Teachers Knowledge Of
Forecasting Trend Adjusted Exponential Smoothing Example 2
Cara Membuat Flowchart Di Word Computer 1001
Cara Memasukkan Tanda Simbol Ceklis Di Word Excel Dan
Cara Membuat Equation Persamaan Matematika Di Microsoft
Template Ijaseit 2016 Update 2 Typefaces Times New Roman
Phase Change Material To Upgrade Building Envelope
Le Lhb Qu Est Ce Que C Est Prisme A Idees
Patterns Worksheets Free Printables Education Com
Fungsi Font Font Size Grow Font Shrink Font Microsoft
Martial Arts Convention In Frauenfeld Schweiz Bushido Allgau














