Contoh Soal Fxgx 0
Rangkuman Contoh Soal Pembahasan Fungsi Komposisi
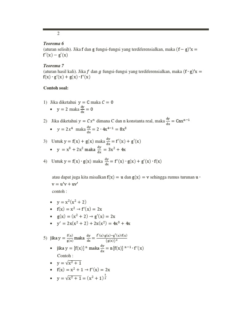
Turunan Pembahasan Dan Contoh Soal Matematika
Pembahasan Soal Persamaan Eksponensial Bentuk F X G X F X H X
Blog Ainun Nahsya Materi Tentang Persamaan Pertidaksamaan
Soal Soal Fungsi Komposisi Dan Fungsi Invers
Rangkuman Contoh Soal Pembahasan Turunan
Ayoo Belajar Contoh Soal Fungsi Komposisi
Persamaan Logaritma Dan Pertidaksamaan Eksponen
Contoh Soal Dan Pembahasan Persamaan Eksponen Iv Marthamatika
Soal Soal Fungsi Komposisi Dan Fungsi Invers
Rangkuman Contoh Soal Pembahasan Fungsi Komposisi
Turunan Pembahasan Dan Contoh Soal Matematika
Pdf 10 Contoh Soal Maks Min Kemonotonan Kecekungan
Soal Dan Pembahasan Persamaan Logaritma 1 5 Istana Mengajar
Fungsi Komposisi Materi Pengertian Fungsi Invers
Mencari Nilai G X Apabila Fog X Dan F X Diketahui Fungsi Komposisi
Rumus Limit Matematika Fungsi Tak Hingga Contoh Soal
Calculus Limits Of Functions Solutions Examples Videos
Persamaan Eksponen Nurlaela Eka Cahyati
Contoh Soal Dan Pembahasan Persamaan Dan Pertidaksamaan
Turunan Matematika Materi Aljabar Trigonometri
Pelajaran Soal Rumus Persamaan Garis Singgung Garis
Pdf Contoh Soal Dan Pembahasan Limit Fungsi Fungsi Invers
Peubah Acak Diskrit Dan Kontinu
Turunan Pembahasan Dan Contoh Soal Matematika
Mencari Nilai F X Apabila Fog X Dan G X Diketahui Fungsi Komposisi
Persamaan Eksponen Nurlaela Eka Cahyati
Fungsi Eksponen Grafik Contoh Dan Persamaanya Dosen Mipa
Fungsi Komposisi Materi Pengertian Fungsi Invers
Gedung Fashion Matematika Limit Fungsi Dan Contoh Soal
Limit Fungsi Aljabar Matematika Kelas 11 Quipper Blog
Contoh Soal 2 Diketahui F X Tentukan A Nilai Fungsi Di Titik
Bab Ii Akar Persamaan Nonlinier
Contoh Soal Dan Pembahasan Persamaan Eksponen Mathematics
Intip Solusi Super Menyelesaikan Soal Fungsi Komposisi Buat
Rumus Limit Matematika Fungsi Tak Hingga Contoh Soal
Contoh Soal F G X F G X Brainly Co Id
Diferensial Matematika Pengertian Rumus Contoh Soal
Media Tweets By Andy Osbourne Andigara19 Twitter
Cara Menyelesaikan Pertidaksamaan Rasional Atau
Contoh Soal Dan Pembahasan Turunan Aljabar Marthamatika
Fungsi Komposisi Materi Pengertian Rumus Contoh Soal
Pelajaran Soal Rumus Persamaan Eksponen Wardaya College
Sql General Functions Nvl Nvl2 Decode Coalesce Nullif
Contoh Soal Fungsi Komposisi Pengertian Rumus Dan
Contoh Dan Pembahasan Bentuk Persamaan Eksponen Serta
Contoh Soal 2 Diketahui F X Tentukan A Nilai Fungsi Di Titik
Pertidaksamaan Logaritma Pengertian Rumus Dan
Worked Example Finding Relative Extrema Video Khan Academy
6 Cara Untuk Mencari Domain Sebuah Fungsi Wikihow
Pertidaksamaan Mutlak Matematika
Materi Limit Fungsi Aljabar Rumushitung Com
Contoh Soal A Log F X A Log G X Dengan F X G X
Limit Fungsi Rumus Macam Dan Contoh Soal Rumus Pintar
Basic Probability Theory And Statistics Towards Data Science
Fungsi Dan Grafiknya Ppt Download
Finding Percentiles Stat 414 415
Rumus Limit Fungsi Matematika Kalkulus Contoh Soal Dan Jawaban
Bilangan Eksponen Pengertian Sifat Fungsi Rumus Contoh
Cara Menentukan Fungsi Genap Atau Ganjil Wikihow
Limit Fungsi Aljabar Tak Terhingga
Materi Dan Contoh Soal Persamaan Eksponen Marthamatika
Asimtot Tegak Dan Mendatar Fungsi Trigonometri
Doc Persamaan Logaritma Suhailah Aflakh Academia Edu
Squeeze Theorem Practice Khan Academy
Invers Fungsi Komposisi Dan Contoh Soal
Persamaan Eksponen Pengertian Rumus Sifat Contoh Soal
Contoh Soal Fungsi Eksponensial My Opinion
Limit Fungsi Aljabar Tak Terhingga
Persamaan Logaritma Rumus Sifat Fungsi Dan Contoh Soal
Contoh Soal Dan Pembahasan Tentang Fungsi Komposisi Dan
Persamaan Logaritma Dan Pertidaksamaan Eksponen
Contoh Soal Turunan Fungsi Perkalian Dan Pembagian
Rumus Integral Substitusi Contoh Soal Beserta Pembahasannya
Pelajaran Soal Rumus Pertidaksamaan Logaritma Wardaya
Persamaan Logaritma Rumus Sifat Fungsi Dan Contoh Soal
Matematika Peminatan Kelas X Fungsi Eksponen K13 A Definisi
Piecewise Function From Wolfram Mathworld
Integral Substitusi Integral Parsial Materi Rumus
Fungsi Invers Sifat Komposisi Contoh Soal Pembahasan
Sifat Sifat Limit Fungsi Dan Contohnya
Matematika Kelas 10 Cara Menyelesaikan Persamaan Dan
Mencari Nilai G X Apabila Fog X Dan F X Diketahui
Sekolah Menengah Kejuruan Negeri 1 Temon
Contoh Soal Dan Pembahasan Persamaan Eksponen Mathematics
Contoh Soal Nilai Mutlak Beserta Jawabannya
Contoh Soal Fungsi Eksponensial My Opinion






