11+ Contoh Soal Matematika Kelas 10

11+ Contoh Soal Matematika Kelas 10. Berikut ini adalah berkas contoh soal uts, uas, ukk, ulangan umum mata pelajaran matematika kelas 10 semester 1 kurikulum 2013. Tempat untuk latihan matematika kelas 10 ktsp sma.

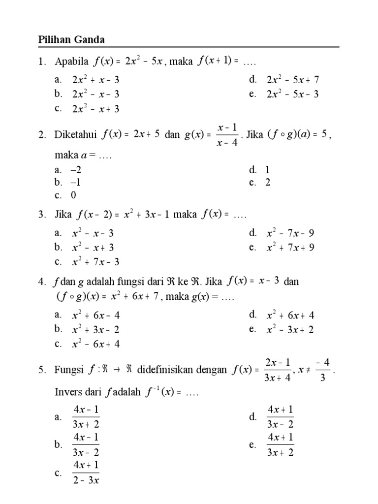
Soal Ujian Semester Ganjil Pelajaran Matematika Kelas X ...
Soal Ujian Semester Ganjil Pelajaran Matematika Kelas X ... from alfysta.files.wordpress.com
Nilai x yang menyebabkan pernyataan jika x2 + x = 6. Berikut adalah daftar isi materi pelajaran matematika sma kelas 10, 11, & 12 di rumus pintar. Sebelum kita masuk ke soal dan pembahasan vektor, kita akan melakukan review singkat tentang vektor matematika sma kelas 10. Materi dibahas secara detail dilengkapi dengan contoh soal & pembahasan.

Pada artikel kali ini, quipper akan membahas tentang contoh soal bab vektor dalam pelajaran matematika.

Duniamatematika , 10 may 2014. Harun mempunyai tali yang ukurannya 10 m. Contoh soal matematika ialah merupakan suatu kumpulan soal pelajaran yang tentunya berguna untuk melatih anak sesuai dengan usia mereka 10. Pada artikel kali ini, quipper akan membahas tentang contoh soal bab vektor dalam pelajaran matematika. Contoh soal vektor matematika dan pembahasan. Duniamatematika , 10 may 2014.


Popular posts

Contoh Soal Dan Jawaban Distribusi Normal Standar

Penerapan Distribusi Normal Penerapan Distribusi Normal Distribusi Normal Distribusi Normal Presentasi Distribusi Normal Distribusi Normal Distribusi Normal Memiliki Variable Random Materi P3 Distribusi Normal Materi P3 Distribusi Normal Statistika Dan Probabilitas Agustian Materi P3 Distribusi Normal Statistika Dan Probabilitas Agustian Contoh Soal Dan Pembahasan Distribusi Normal Tabel Z Distribusi Normal Ppt Download Doc Distribusi Normal Kumaranata Asmara Academia Edu This Is My Blog Jawaban Contoh Soal Distribusi Normal Penerapan Distribusi Normal Statistik Penerapan Distribusi Normal Distribusi Prob...

Contoh Soal Operasi Hitung Pecahan Smp

Contoh Soal Operasi Hitung Bilangan Pecahan Kelas 7 Smp Operasi Hitungan Bilangan Pecahan Soal Dan Jawaban Cara Operasi Hitung Pecahan Aljabar Beserta Contoh Soal Lengkap Contoh Soal Dan Pembahasan Matematika Smp Contoh Soal Dan Pembahasan Matematika Smp Contoh Soal Operasi Bilangan Pecahan Dan Pembahasannya Operasi Hitung Campuran Berbagai Bentuk Pecahan Dan Contoh Operasi Hitung Pecahan Aljabar Beserta Contoh Soal Lengkap Operasi Hitung Pecahan Campuran Kumpulan Rumus Operasi Hitung Pecahan Campuran Kumpulan Rumus Cara Menghitung Pecahan Matematika Beserta Contoh Soal Dan Contoh Soal Bilangan Bulat Dan Pecahan Kelas 7 Pengertian Matematika Kelas 7 Mengenal Operasi Hitung Pada Pecahan Blog Mtk Smp ...

Contoh Soal Jangka Sorong

Soal Dan Pembahasan Fisika Tentang Jangka Sorong Fokus Fisika Jangka Sorong Bagian Bagian Cara Membaca Contoh Soal Soal Dan Pembahasan Fisika Tentang Jangka Sorong Fokus Fisika Jangka Sorong Bagian Bagian Cara Membaca Contoh Soal Pengukuran Menggunakan Jangka Sorong Dan Mikrometer Skrup Soal Dan Pembahasan Fisika Tentang Jangka Sorong Fokus Fisika Jangka Sorong Ketelitian Cara Rumus Dan Contoh Soal Jangka Sorong Fungsi Jenis Cara Membaca Jangka Sorong Contoh Soal Jangka Sorong Lengkap Dengan Ringkasan Materi Jangka Sorong Cara Membaca Menghitung Jenis Contoh Soal Jangka Sorong Bagian Bagian Cara Membaca Contoh Soal Cara Menghitung Jangka Sorong Beserta Contoh Soal Dan Gambar Contoh Soal Jangka Sorong Lengkap Dengan Ringkas...