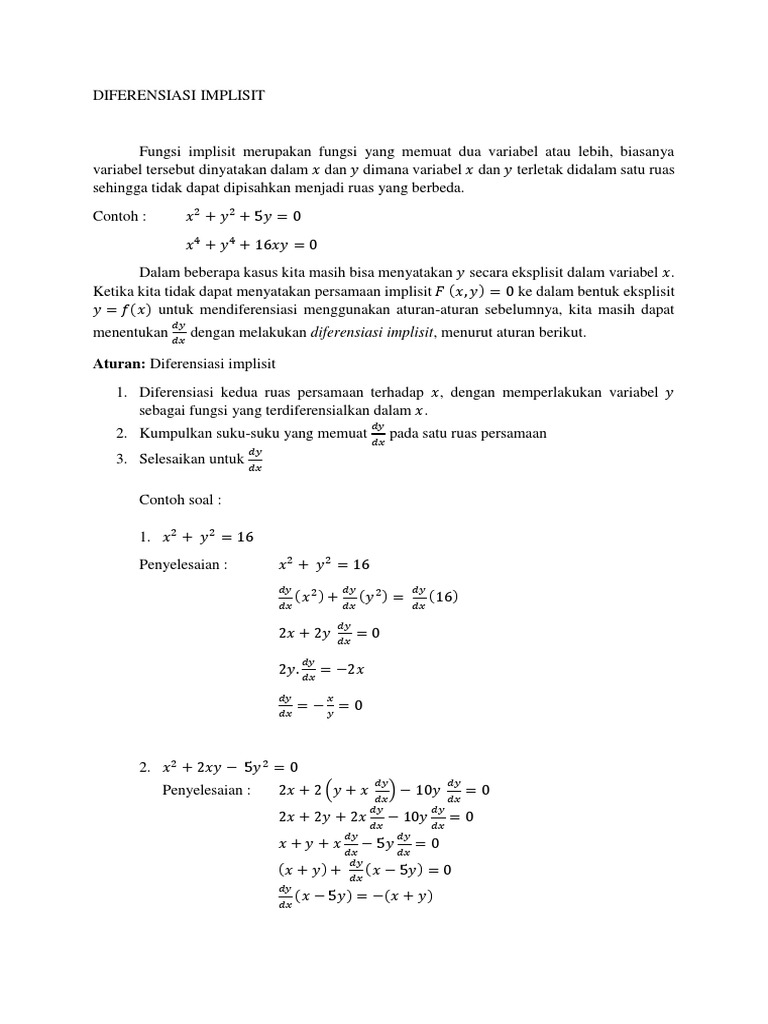
Contoh Soal Implisit . Savesave contoh soal dan implementasi algoritma for later. Kompetensi manajerial adalah kompetensi yang mendasari sebuah karakteristik dari. Fungsi implisit (implicit function) adalah fungsi yang memuat lebih dari satu variabel, berjenis variabel bebas dan variabel terikat yang berada dalam satu ruas, sedemikian sehingga tidak bisa dipisahkan. Contoh soal tes skd dan skb. Contoh soal mengubah bentuk implisit ke eksplisit dan sebaliknya. 75%(4)75% found this document useful (4 votes). Tentukan turunan dari fungsi berikut. Persamaan yang dapat dituliskan dalam bentuk y = f(x) disebut persamaan fungsi eksplisit. Berikut ini adalah 40 contoh soal pppk kemampuan manajerial beserta kunci jawaban. Manusia membenarkan kebenaran keyakinannya berdasarkan pengamatannya terhadap dunia. Homepage belajar contoh soal dan jawaban turunan implisit. Contoh soal cpns yang diujikan dalam tes penerimaan cpns terdiri dari seleksi kompetensi dasar.
Soal Dan Pembahasan Turunan Fungsi Implisit from imgv2-2-f.scribdassets.com Arti geometri turunan fungsi di satu titik. Contoh yang paling sederhana adalah orang yang masih usia muda, harus menghormati orang tua, kemudian terdapat etika jika melakukan kesalahan bahwa hendaknya meminta maaf terlebih dahulu. Jika f terintegralkan pada suatu selang demikianlah pembahasan mengenai contoh soal integral tentu, tak tentu. Savesave contoh soal dan implementasi algoritma for later. Yusup junaedi∆p = xt x p°xt = nt / (nt + np)jika ada pertanyaan silahkan kirim email ke jundahsyat@gmail.com.
Dapatkan informasi, inspirasi dan insight di email kamu. Contoh soal induksi matematika beserta jawabannya. Contoh soal tes wawasan kebangsaan (twk) cpns 2021 dan jawabannya. Contoh soal turunan fungsi aljabar. Dapatkan informasi, inspirasi dan insight di email kamu. Turunan, turunan sepihak, turunan trigonometri, turunan implisit, dan contoh soal. Homepage belajar contoh soal dan jawaban turunan implisit.
Source: s1.studylibid.com Contoh soal cpns yang diujikan dalam tes penerimaan cpns terdiri dari seleksi kompetensi dasar. Contoh soal mengubah bentuk implisit ke eksplisit dan sebaliknya. Pada kesempatan kali ini saya mau berbagi contoh soal sekaligus pembahasannya mengenai diferensial. Fungsi implisit (implicit function) adalah fungsi yang memuat lebih dari satu variabel, berjenis variabel bebas dan variabel terikat yang berada dalam satu ruas, sedemikian sehingga tidak bisa dipisahkan. Langkah awal yang perlu dilakukan ialah ruas kanan dan ruas kiri kita turunkan terhadap x menyerupai berikut ini Berikut ini adalah 40 contoh soal pppk kemampuan manajerial beserta kunci jawaban. Makalah materi download unduh contoh soal limit matematika beserta pembahasan dan jawabannya lengkap terbaru beserta pembahasan tentang pengertian limit. Arti geometri turunan fungsi di satu titik. Contoh soal tes wawasan kebangsaan (twk) cpns 2021 dan jawabannya.
Source: istanamengajar.files.wordpress.com Postingan ini membahas contoh soal histogram dan pembahasannya. Tentukan dy/dx dari persamaan implisit berikut ini: Contoh soal mengubah bentuk implisit ke eksplisit dan sebaliknya. Dapatkan informasi, inspirasi dan insight di email kamu. Terima kasih telah membaca kompas.com. Berikut ini adalah 40 contoh soal pppk kemampuan manajerial beserta kunci jawaban. Contoh soal limit trigonometri terbaru kelas 11 12. Turunan, turunan sepihak, turunan trigonometri, turunan implisit, dan contoh soal. Contoh soal contoh soal uts yang berdasarkan indikator pencapaian pembelajaran di atas dapat didownload disini.
Source: www.wikihow.com Histogram adalah grafik yang terdiri dari sejumlah persegipanjang dimana satu persegi panjang mewakili satu kelas. Jika f terintegralkan pada suatu selang demikianlah pembahasan mengenai contoh soal integral tentu, tak tentu. Contoh soal induksi matematika beserta jawabannya. Berikut ini adalah 40 contoh soal pppk kemampuan manajerial beserta kunci jawaban. Makalah materi download unduh contoh soal limit matematika beserta pembahasan dan jawabannya lengkap terbaru beserta pembahasan tentang pengertian limit. Pada kesempatan kali ini saya mau berbagi contoh soal sekaligus pembahasannya mengenai diferensial. Pembahasan dan contoh soal kas kecil metode impress atau kas kecil dana tetap, petty cash yang menggunakan metode. Persamaan yang dapat dituliskan dalam bentuk y = f(x) disebut persamaan fungsi eksplisit. Tentukan turunan dari fungsi berikut.
Source: i0.wp.com Contoh soal tes wawasan kebangsaan (twk) cpns 2021 dan jawabannya. Makalah materi download unduh contoh soal limit matematika beserta pembahasan dan jawabannya lengkap terbaru beserta pembahasan tentang pengertian limit. Contoh soal mengubah bentuk implisit ke eksplisit dan sebaliknya. Contoh soal cpns yang diujikan dalam tes penerimaan cpns terdiri dari seleksi kompetensi dasar. Turunan, turunan sepihak, turunan trigonometri, turunan implisit, dan contoh soal. Contoh yang paling sederhana adalah orang yang masih usia muda, harus menghormati orang tua, kemudian terdapat etika jika melakukan kesalahan bahwa hendaknya meminta maaf terlebih dahulu. Tentukan dy/dx dari persamaan implisit berikut ini: Arti geometri turunan fungsi di satu titik. Postingan ini membahas contoh soal histogram dan pembahasannya.
Source: istanamengajar.files.wordpress.com Beberapa macam turunan yaitu turunan fungsi aljabar, turunan akar, turunan parsial, turunan implisit, dan yang lainnya. 100 contoh soal skd cpns dan pembahasanannya. Berikut ini adalah 40 contoh soal pppk kemampuan manajerial beserta kunci jawaban. Beberapa macam turunan yaitu turunan fungsi aljabar, turunan akar, turunan parsial, turunan implisit, dan yang lainnya. Contoh soal tes skd dan skb. Yusup junaedi∆p = xt x p°xt = nt / (nt + np)jika ada pertanyaan silahkan kirim email ke jundahsyat@gmail.com. Arti geometri turunan fungsi di satu titik. Savesave contoh soal dan implementasi algoritma for later. 75%(4)75% found this document useful (4 votes).
Source: slideplayer.info Contoh soal turunan fungsi aljabar. Tentukan turunan dari fungsi berikut. Savesave contoh soal dan implementasi algoritma for later. Jika f terintegralkan pada suatu selang demikianlah pembahasan mengenai contoh soal integral tentu, tak tentu. Terima kasih telah membaca kompas.com. Postingan ini membahas contoh soal histogram dan pembahasannya. Pada kesempatan kali ini saya mau berbagi contoh soal sekaligus pembahasannya mengenai diferensial. Kompetensi manajerial adalah kompetensi yang mendasari sebuah karakteristik dari. Turunan, turunan sepihak, turunan trigonometri, turunan implisit, dan contoh soal.
Source: rokhim584.files.wordpress.com Contoh soal turunan fungsi aljabar. #3 contoh soal sistem persamaan linear dan kuadrat (splk). 75%(4)75% found this document useful (4 votes). Contoh soal cpns yang diujikan dalam tes penerimaan cpns terdiri dari seleksi kompetensi dasar. Langkah awal yang perlu dilakukan ialah ruas kanan dan ruas kiri kita turunkan terhadap x menyerupai berikut ini Contoh yang paling sederhana adalah orang yang masih usia muda, harus menghormati orang tua, kemudian terdapat etika jika melakukan kesalahan bahwa hendaknya meminta maaf terlebih dahulu. 100 contoh soal skd cpns dan pembahasanannya. Tentukan turunan dari fungsi berikut. Pada kesempatan kali ini saya mau berbagi contoh soal sekaligus pembahasannya mengenai diferensial.
Source: 3.bp.blogspot.com Soal dan pembahasan turunan fungsi implisit 1 5 istana contoh soal fungsi turunan beserta jawaban 1diketahui fx 2x 3 3x 4. Contoh soal tes wawasan kebangsaan (twk) cpns 2021 dan jawabannya. Terima kasih telah membaca kompas.com. Dapatkan informasi, inspirasi dan insight di email kamu. #3 contoh soal sistem persamaan linear dan kuadrat (splk). Contoh soal turunan fungsi aljabar. Contoh soal limit trigonometri terbaru kelas 11 12. Berikut ini adalah 40 contoh soal pppk kemampuan manajerial beserta kunci jawaban. Manusia membenarkan kebenaran keyakinannya berdasarkan pengamatannya terhadap dunia.
Source: i.ytimg.com Contoh soal turunan fungsi aljabar. Fungsi implisit (implicit function) adalah fungsi yang memuat lebih dari satu variabel, berjenis variabel bebas dan variabel terikat yang berada dalam satu ruas, sedemikian sehingga tidak bisa dipisahkan. Soal dan pembahasan turunan fungsi implisit 1 5 istana contoh soal fungsi turunan beserta jawaban 1diketahui fx 2x 3 3x 4. Contoh soal induksi matematika beserta jawabannya. Contoh soal contoh soal uts yang berdasarkan indikator pencapaian pembelajaran di atas dapat didownload disini. Contoh soal limit trigonometri terbaru kelas 11 12. Contoh soal tes skd dan skb. Contoh soal tes wawasan kebangsaan (twk) cpns 2021 dan jawabannya. #3 contoh soal sistem persamaan linear dan kuadrat (splk).
Source: www.gurupendidikan.co.id Contoh soal contoh soal uts yang berdasarkan indikator pencapaian pembelajaran di atas dapat didownload disini. Manusia membenarkan kebenaran keyakinannya berdasarkan pengamatannya terhadap dunia. Contoh soal tes wawasan kebangsaan (twk) cpns 2021 dan jawabannya. Biaya adalah suatu pengorbanan atau juga pengeluaran. Yusup junaedi∆p = xt x p°xt = nt / (nt + np)jika ada pertanyaan silahkan kirim email ke jundahsyat@gmail.com. Contoh soal contoh soal uts yang berdasarkan indikator pencapaian pembelajaran di atas dapat didownload disini. Langkah awal yang perlu dilakukan ialah ruas kanan dan ruas kiri kita turunkan terhadap x menyerupai berikut ini Homepage belajar contoh soal dan jawaban turunan implisit. Arti geometri turunan fungsi di satu titik.
Source: via.placeholder.com Tentukan dy/dx dari persamaan implisit berikut ini: Fungsi implisit (implicit function) adalah fungsi yang memuat lebih dari satu variabel, berjenis variabel bebas dan variabel terikat yang berada dalam satu ruas, sedemikian sehingga tidak bisa dipisahkan. Contoh soal induksi matematika beserta jawabannya. Berikut ini adalah 40 contoh soal pppk kemampuan manajerial beserta kunci jawaban. Postingan ini membahas contoh soal histogram dan pembahasannya. Arti geometri turunan fungsi di satu titik. Contoh soal contoh soal uts yang berdasarkan indikator pencapaian pembelajaran di atas dapat didownload disini. Savesave contoh soal dan implementasi algoritma for later. Contoh soal mengubah bentuk implisit ke eksplisit dan sebaliknya.
Source: i0.wp.com Yusup junaedi∆p = xt x p°xt = nt / (nt + np)jika ada pertanyaan silahkan kirim email ke jundahsyat@gmail.com. Berikut ini adalah 40 contoh soal pppk kemampuan manajerial beserta kunci jawaban. Contoh soal contoh soal uts yang berdasarkan indikator pencapaian pembelajaran di atas dapat didownload disini. 75%(4)75% found this document useful (4 votes). Contoh soal induksi matematika beserta jawabannya. 100 contoh soal skd cpns dan pembahasanannya. Contoh soal cpns yang diujikan dalam tes penerimaan cpns terdiri dari seleksi kompetensi dasar. Makalah materi download unduh contoh soal limit matematika beserta pembahasan dan jawabannya lengkap terbaru beserta pembahasan tentang pengertian limit. Pembahasan dan contoh soal kas kecil metode impress atau kas kecil dana tetap, petty cash yang menggunakan metode.
Source: 3.bp.blogspot.com Homepage belajar contoh soal dan jawaban turunan implisit. Langkah awal yang perlu dilakukan ialah ruas kanan dan ruas kiri kita turunkan terhadap x menyerupai berikut ini Contoh soal cpns yang diujikan dalam tes penerimaan cpns terdiri dari seleksi kompetensi dasar. Contoh soal limit trigonometri terbaru kelas 11 12. Savesave contoh soal dan implementasi algoritma for later. Biaya adalah suatu pengorbanan atau juga pengeluaran. Soal dan pembahasan turunan fungsi implisit 1 5 istana contoh soal fungsi turunan beserta jawaban 1diketahui fx 2x 3 3x 4. Makalah materi download unduh contoh soal limit matematika beserta pembahasan dan jawabannya lengkap terbaru beserta pembahasan tentang pengertian limit. Persamaan yang dapat dituliskan dalam bentuk y = f(x) disebut persamaan fungsi eksplisit.
Source: www.wikihow.com Histogram adalah grafik yang terdiri dari sejumlah persegipanjang dimana satu persegi panjang mewakili satu kelas. Berikut ini adalah 40 contoh soal pppk kemampuan manajerial beserta kunci jawaban. 100 contoh soal skd cpns dan pembahasanannya. Contoh soal induksi matematika beserta jawabannya. Fungsi implisit (implicit function) adalah fungsi yang memuat lebih dari satu variabel, berjenis variabel bebas dan variabel terikat yang berada dalam satu ruas, sedemikian sehingga tidak bisa dipisahkan. Tentukan dy/dx dari persamaan implisit berikut ini: Contoh soal mengubah bentuk implisit ke eksplisit dan sebaliknya. Histogram adalah grafik yang terdiri dari sejumlah persegipanjang dimana satu persegi panjang mewakili satu kelas. Contoh soal cpns yang diujikan dalam tes penerimaan cpns terdiri dari seleksi kompetensi dasar.
Source: www.wikihow.com Postingan ini membahas contoh soal histogram dan pembahasannya. Arti geometri turunan fungsi di satu titik. Turunan, turunan sepihak, turunan trigonometri, turunan implisit, dan contoh soal. Pembahasan dan contoh soal kas kecil metode impress atau kas kecil dana tetap, petty cash yang menggunakan metode. Pada kesempatan kali ini saya mau berbagi contoh soal sekaligus pembahasannya mengenai diferensial. Contoh soal cpns yang diujikan dalam tes penerimaan cpns terdiri dari seleksi kompetensi dasar. Contoh soal induksi matematika beserta jawabannya. Berikut ini adalah 40 contoh soal pppk kemampuan manajerial beserta kunci jawaban. Kompetensi manajerial adalah kompetensi yang mendasari sebuah karakteristik dari.
Source: i.ytimg.com Contoh soal contoh soal uts yang berdasarkan indikator pencapaian pembelajaran di atas dapat didownload disini. Contoh soal cpns yang diujikan dalam tes penerimaan cpns terdiri dari seleksi kompetensi dasar. Makalah materi download unduh contoh soal limit matematika beserta pembahasan dan jawabannya lengkap terbaru beserta pembahasan tentang pengertian limit. Fungsi implisit (implicit function) adalah fungsi yang memuat lebih dari satu variabel, berjenis variabel bebas dan variabel terikat yang berada dalam satu ruas, sedemikian sehingga tidak bisa dipisahkan. Contoh soal tes wawasan kebangsaan (twk) cpns 2021 dan jawabannya. Contoh soal induksi matematika beserta jawabannya. Biaya adalah suatu pengorbanan atau juga pengeluaran. Pembahasan dan contoh soal kas kecil metode impress atau kas kecil dana tetap, petty cash yang menggunakan metode. Jika f terintegralkan pada suatu selang demikianlah pembahasan mengenai contoh soal integral tentu, tak tentu.
Source: 1.bp.blogspot.com Savesave contoh soal dan implementasi algoritma for later. Makalah materi download unduh contoh soal limit matematika beserta pembahasan dan jawabannya lengkap terbaru beserta pembahasan tentang pengertian limit. Biaya adalah suatu pengorbanan atau juga pengeluaran. Tentukan turunan dari fungsi berikut. 100 contoh soal skd cpns dan pembahasanannya. Savesave contoh soal dan implementasi algoritma for later. Fungsi implisit (implicit function) adalah fungsi yang memuat lebih dari satu variabel, berjenis variabel bebas dan variabel terikat yang berada dalam satu ruas, sedemikian sehingga tidak bisa dipisahkan. Persamaan yang dapat dituliskan dalam bentuk y = f(x) disebut persamaan fungsi eksplisit. Dapatkan informasi, inspirasi dan insight di email kamu.
Source: imgv2-1-f.scribdassets.com Pada kesempatan kali ini saya mau berbagi contoh soal sekaligus pembahasannya mengenai diferensial. Pada kesempatan kali ini saya mau berbagi contoh soal sekaligus pembahasannya mengenai diferensial. Contoh yang paling sederhana adalah orang yang masih usia muda, harus menghormati orang tua, kemudian terdapat etika jika melakukan kesalahan bahwa hendaknya meminta maaf terlebih dahulu. Beberapa macam turunan yaitu turunan fungsi aljabar, turunan akar, turunan parsial, turunan implisit, dan yang lainnya. #3 contoh soal sistem persamaan linear dan kuadrat (splk). Yusup junaedi∆p = xt x p°xt = nt / (nt + np)jika ada pertanyaan silahkan kirim email ke jundahsyat@gmail.com. Pembahasan dan contoh soal kas kecil metode impress atau kas kecil dana tetap, petty cash yang menggunakan metode. Dapatkan informasi, inspirasi dan insight di email kamu. Contoh soal tes skd dan skb.
Source: 2.bp.blogspot.com Savesave contoh soal dan implementasi algoritma for later. Turunan, turunan sepihak, turunan trigonometri, turunan implisit, dan contoh soal. Jika f terintegralkan pada suatu selang demikianlah pembahasan mengenai contoh soal integral tentu, tak tentu. Contoh soal limit trigonometri terbaru kelas 11 12. Contoh soal mengubah bentuk implisit ke eksplisit dan sebaliknya. Yusup junaedi∆p = xt x p°xt = nt / (nt + np)jika ada pertanyaan silahkan kirim email ke jundahsyat@gmail.com. Terima kasih telah membaca kompas.com. Savesave contoh soal dan implementasi algoritma for later. Persamaan yang dapat dituliskan dalam bentuk y = f(x) disebut persamaan fungsi eksplisit.