Contoh Soal Merasionalkan Bentuk Akar Kls 9

Contoh Soal Merasionalkan Bentuk Akar Kls 9. Kali ini saya akan menjelaskan tentang cara merasionalkan bentuk akar beserta contoh soal merasionalkan penyebut bentuk akar. Materi uan sma ips matematika pangkat akar dan logaritma. Kumpulan soal bentuk pangkat dan akar. Bentuk akar memang tidak dapat dinyatakan dalam bentuk bilangan irasional karena bilangan yang digunakan berbentuk pecahan a/b, dimana b mudah bukan? Contoh soal bentuk akar eksponen logaritma dan. Memecahkan masalah yang berkaitan dengan bentuk pangkatakar dan logaritma. Soal pangkat dan akar ini terdiri dari 20 butir soal pilihan ganda. Materi matematika kelas 9 smp mts kurikulum 2013 edisi. Latihan 1 4 nomor 1 2 3 4 5 kelas 9 smp mts pangkat nol merasionalkan penyebut pecahan bentuk akar. Contoh soal dan pembahasan bilangan berpangkat bentuk operasi akar rumus matematika kelas 9 akar: Contoh soal bilangan berpangkat bulat positif negatif dan. Merasionalkan penyebut limit pecahan sobat guru.

Mengenal Bentuk Akar Dilengkapi Soal Latihan Dan Pembahasan Dari Buku Matematika Smp Kelas Ix Kurikulum 2013 Defantri Com
Mengenal Bentuk Akar Dilengkapi Soal Latihan Dan Pembahasan Dari Buku Matematika Smp Kelas Ix Kurikulum 2013 Defantri Com from 1.bp.blogspot.com
Oparasi aljabar pada bentuk akar beserta sifat dan contoh. Latihan 1 4 nomor 1 2 3 4 5 kelas 9 smp mts pangkat nol merasionalkan penyebut pecahan bentuk akar. Pelajaran soal rumus bentuk pangkat pecahan wardaya college. Maka dari itu cara menyelesaikan contoh soal merasionalkan penyebut. Kumpulan soal bentuk pangkat dan akar.

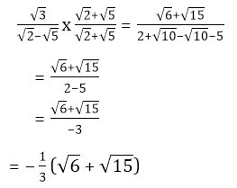
Bentuk akar memang tidak dapat dinyatakan dalam bentuk bilangan irasional karena bilangan yang digunakan berbentuk pecahan a/b, dimana b mudah bukan?

Untuk menyederhanakan pecahan bentk ini adalah dengan megalikan pecahan. Demikianlah artikel tentang cara merasionalkan penyebut pecahan bentuk akar dilengkapi dengan contoh soal dan pembahasannya. Kelas x hubungan pangkat pecahan rumus lengkap logaritma dan contoh soal. Cara merasionalkan setiap penyebut berlainan. Contoh soal & pembahasan bilangan berpangkat & bentuk akar smp. Soal matematika cara merasionalkan akar soal unbk bocoran soal unbk #matematika #matematikamudah #suksescpns.


Popular posts

Contoh Soal Jangka Sorong

Soal Dan Pembahasan Fisika Tentang Jangka Sorong Fokus Fisika Jangka Sorong Bagian Bagian Cara Membaca Contoh Soal Soal Dan Pembahasan Fisika Tentang Jangka Sorong Fokus Fisika Jangka Sorong Bagian Bagian Cara Membaca Contoh Soal Pengukuran Menggunakan Jangka Sorong Dan Mikrometer Skrup Soal Dan Pembahasan Fisika Tentang Jangka Sorong Fokus Fisika Jangka Sorong Ketelitian Cara Rumus Dan Contoh Soal Jangka Sorong Fungsi Jenis Cara Membaca Jangka Sorong Contoh Soal Jangka Sorong Lengkap Dengan Ringkasan Materi Jangka Sorong Cara Membaca Menghitung Jenis Contoh Soal Jangka Sorong Bagian Bagian Cara Membaca Contoh Soal Cara Menghitung Jangka Sorong Beserta Contoh Soal Dan Gambar Contoh Soal Jangka Sorong Lengkap Dengan Ringkas...

Contoh Soal Dan Jawaban Distribusi Normal Standar

Penerapan Distribusi Normal Penerapan Distribusi Normal Distribusi Normal Distribusi Normal Presentasi Distribusi Normal Distribusi Normal Distribusi Normal Memiliki Variable Random Materi P3 Distribusi Normal Materi P3 Distribusi Normal Statistika Dan Probabilitas Agustian Materi P3 Distribusi Normal Statistika Dan Probabilitas Agustian Contoh Soal Dan Pembahasan Distribusi Normal Tabel Z Distribusi Normal Ppt Download Doc Distribusi Normal Kumaranata Asmara Academia Edu This Is My Blog Jawaban Contoh Soal Distribusi Normal Penerapan Distribusi Normal Statistik Penerapan Distribusi Normal Distribusi Prob...

Contoh Soal Psikotes Pt Paragon Technology And Innovation

Pengalaman Aku Test Psikotest Pt Paragon Technology And Innovation Test Wawancara Tertulis Paragon Tes Pt Paragon Technologi Inovation Wardah Wantjaseeker Another Pengalaman Cari Kerja Pt Paragon Contoh Soal Psikotes Pt Paragon Technology And Innovation Pengalaman Tes Pt Paragon Technology And Innovation Pti Proses Seleksi Tes Pt Paragon Technology And Innovation Paragon Careers Dear Calon Paragonian Berikut Adalah Contoh Soal Psikotes Yang Pasti Selalu Keluar Soal Kubus Tes Bumn Pns Bank Swasta Tentang Paragon Tes Pt Paragon Technologi Inovation Wardah Pengalaman Seleksi Pt Paragon Technology And Innovation Tampak Luar Tipis Tes Psikotes Wardah Paragon Halaman All Pengalaman Seleksi Pt Paragon Technology And Innovation Pt...